气相色谱质谱里的香气成分含量怎么算呀?
一、归一化面积法(用于香气成分的相对含量估算)

图1
二、外标法(absolute quantification with calibration curve)
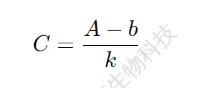
1、若根据标准品建立线性校准曲线
A=kC+b
其中:
(1)A为峰面积,
(2)C为浓度(如 μg/mL),
(3)k为斜率,
(4)b为截距,
2、则样品中某组分浓度 C可通过测得的 A代入反推得出

图2
如需换算为单位质量下的含量(如 μg/g),再结合提取体积 V与样品质量 m,计算如下:

图3
三、内标法(使用面积比计算目标组分浓度)

图4
百泰派克生物科技--生物制品表征,多组学生物质谱检测优质服务商
相关服务:
提交需求
How to order?

